Consolidation of hybrid textiles
We develop and validate a consolidation model for the production of composites based on hybrid textiles. These consist of plies of reinforcing woven fibres and thermoplastic plies alternatively stacked.
- Fibre-reinforced plastics
- Hybrid textiles
- Press moulding
- Analytical modelling
Fibre-reinforced thermoplastic composites are materials with excellent mechanical properties ideal for lightweight applications. As of today, their production mainly is based on expensive pre-impregnated materials with which limited part complexity can be attained.
Press moulding of hybrid textile is an alternative process in which semi-complex shapes can be produced. Hybrid textiles have good drapeability and an elevated design freedom, as many parameters can be easily and locally changed. A three-dimensional consolidation model would allow to avoid defect formation and enable process and design optimization. However, such a model is currently lacking.
The main goal is to develop a three-dimensional consolidation model. In a first step, a “standard” consolidation model is developed and experimentally validated with thorough experiments. A collaboration with the Faserinstitut Bremen (FIBRE) in Germany allows to extent the investigations to high-performance materials: carbon fibres and polyetherimide (PEI). The consolidation model then has to be extended in three dimensions. Finally, demonstrator parts are produced to highlight the potential of this technology, especially for semi-complex shapes.
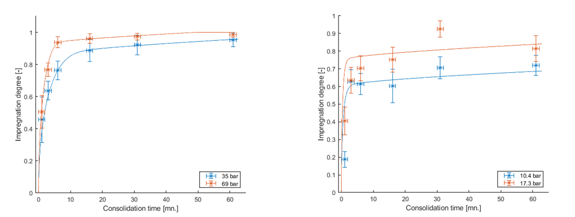
A novel consolidation model was developed, in which air entrapment, dissolution and diffusion in the molten polymer are considered. A set of experiments was designed to compare the measured impregnation degree against the model predictions and good agreement is found at different pressures and for two different polymers, polypropylene and high-density polyethylene as shown in Figure 2. Further experiments are being currently carried out with the carbon and PEI hybrid textile shown in Figure 1. In the next work steps, the consolidation model will be extended in three dimensions and validated experimentally.
Publications:
- Werlen V., Vocke R., Schwanemann P., Michaud V., Brauner C., Dransfeld C., Rytka C. Consolidation of hybrid textiles for aerospace applications. 20th European Conference on Composite Materials ECCM20, Lausanne, CH, 2022.
- Werlen V., Vocke R., Schwanemann P., Michaud V., Dransfeld C., Rytka C. On the impregnation of hybrid textiles during press moulding and why entrapped air matters. To be submitted to Composite Part A end of 2022.
- Werlen V., Vocke R., Rytka C., Schwanemann P., Michaud V., Dransfeld C., Brauner C., Herrmann A. S. ConThP: Consolidation of thermoplastic hybrid yarn materials. 5th International Conference and Exhibition on Thermoplastic Composites ITHEC, Bremen, DE, 2020.
Execution | |
Duration | 3 years |
Funding | ConThP, Swiss National Science Foundation [200021E / 177210 / 1] |
Project team | Vincent Werlen, Richard Vocke, Prof. Dr. Christian Rytka, Prof. Dr. Véronique Michaud, Prof. Dr. Clemens Dransfeld, Dr. Philipp Schwanemann, Prof. Dr. Christian Brauner, Prof. Dr. Axel Herrmann |


